Toshiba TC7SB3157DL6X Digital BUS Switch IC
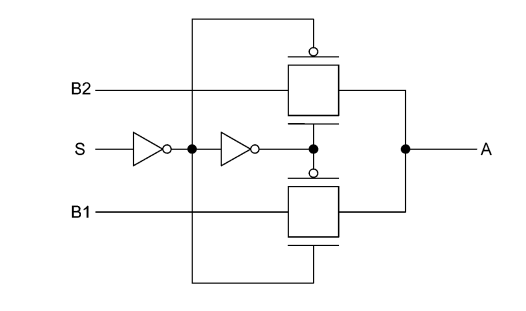
Toshiba TC7SB3157DL6X Digital BUS Switch IC is a high-speed CMOS single 1-of-2 multiplexer/demultiplexer controlled by the select input (S). The TC7SB3157DL6X offers a low ON resistance, enabling connections with minimal propagation delay time. The A input is connected to B1 or B2 output based on the selection of Control input (S). All inputs are equipped with protection circuits against static discharge.Features
- VCC = 1.65V to 5.5V Operating voltage
- ON capacitance of CI/O = 15pF Switch On (typ.) @VCC = 5.0V
- RON = 4Ω (typ.) @VCC = 4.5V, VIS = 0V ON resistance
- MP6D Package
Block Diagram
Pin Assignment
發佈日期: 2022-01-10
| 更新日期: 2022-03-11
